万益资讯网
小小课堂知识的文章
高中地理会考知识点手册
2026-04-27 14:17
高中地理会考知识点手册
高中数学全部公式就这18页
2026-04-27 13:17
高中数学全部公式就这18页
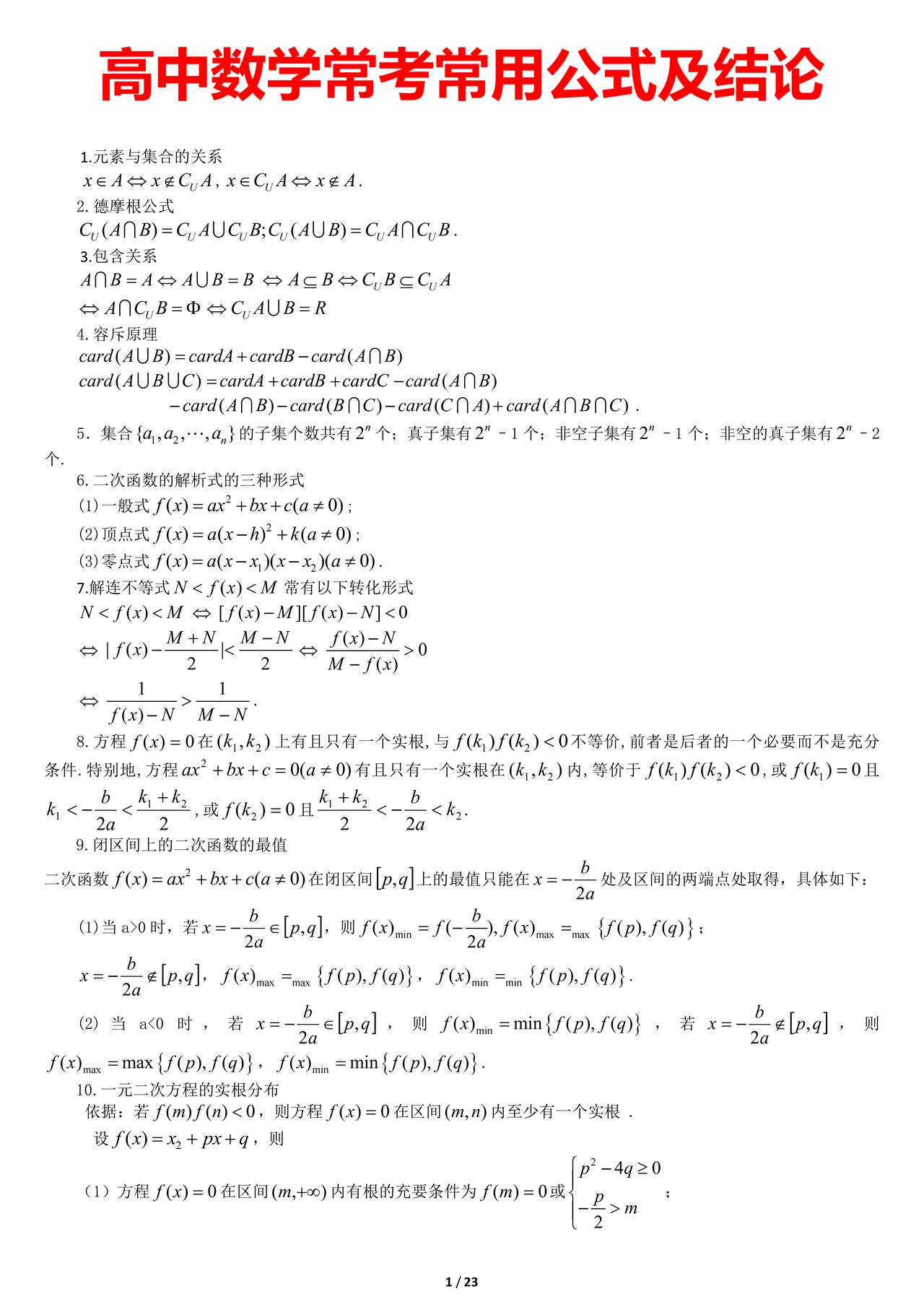
数学常用公式及结论
2026-04-27 13:19
数学常用公式及结论
高中数学导数中零点问题
2026-04-27 13:19
高中数学导数中零点问题
高中数学精选考点错题
2026-04-27 13:19
高中数学精选考点错题
高中英语必备词组短语和固定搭配!
2025-12-17 14:19
高中英语必备词组短语和固定搭配!
高考数学各个专题笔记来了,基础知识的题型通通拿下!
2025-12-15 16:19
高考数学各个专题笔记来了,基础知识的题型通通拿下!
高中有机化学知识点无非就这23页!
2025-12-15 16:19
高中有机化学知识点无非就这23页!
高中数学解题方法
2026-03-26 06:35
高中数学解题方法
高中数学常考题型归纳(带解析)
2025-12-06 09:17
高中数学常考题型归纳(带解析)
高中英语:这40篇短文记牢3500个单词,背熟就厉害了!
2024-10-31 10:05
高中英语:这40篇短文记牢3500个单词,背熟就厉害了!
第一页
作者信息
小小课堂知识
感谢大家的关注
分类: 教育
热门分类
推荐
热榜
军事
NBA
体育
社会
明星八卦
娱乐
财经
科技
汽车
历史
国际
游戏
动漫
公益
搞笑
商业
互联网
数码
国际足球
房产
家居
时尚
科学探索
职场
育儿
股票
教育
影视
情感
热点
中国军情
武器
中国南海
中国足球
亚洲杯
科比
综合体育
CBA
投资
楼市
大咖秀
外汇
创业
风口
SUV
豪车
概念车
优惠
新能源
美国
欧洲
朝日韩
俄罗斯
孕期
街拍
恋爱攻略
婚姻
正能量