万益资讯网
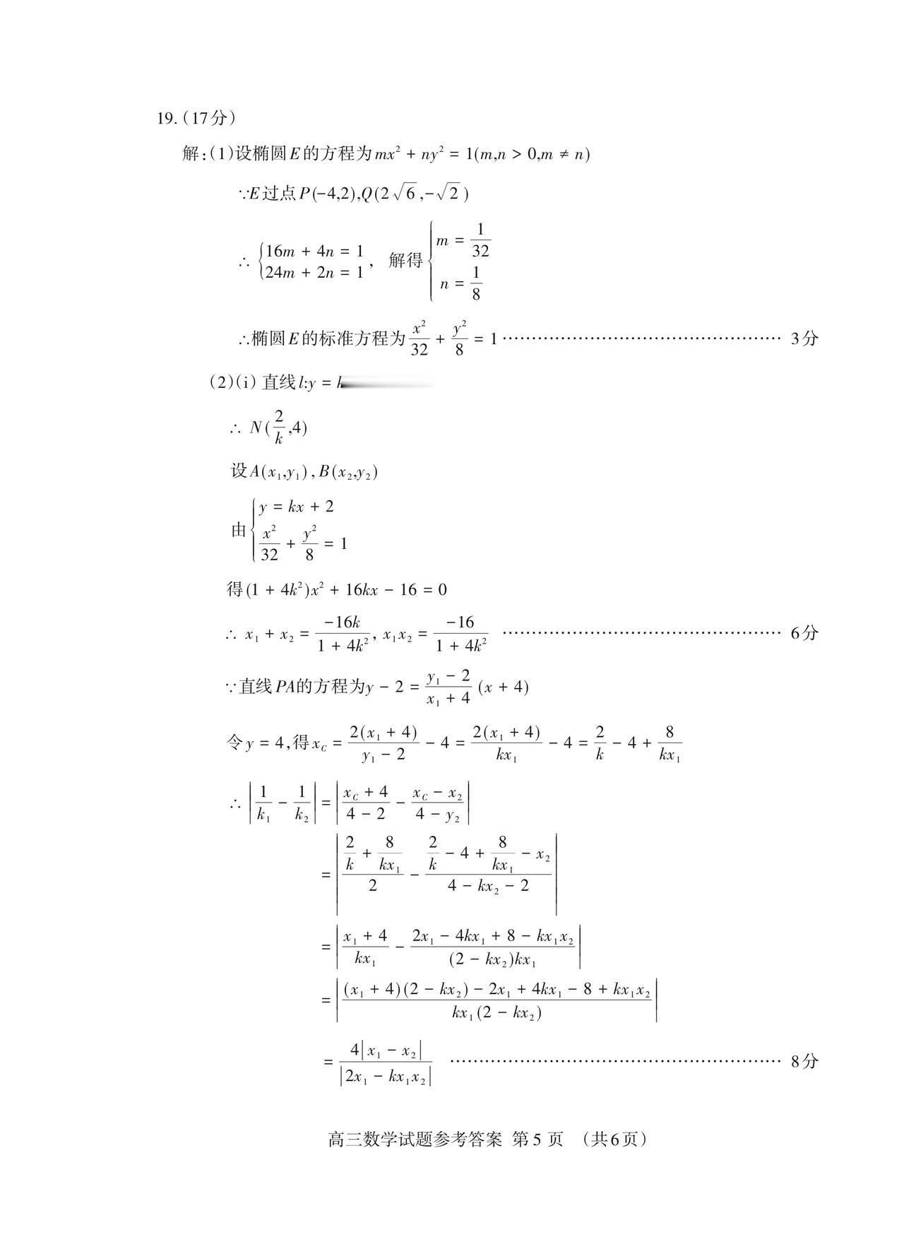
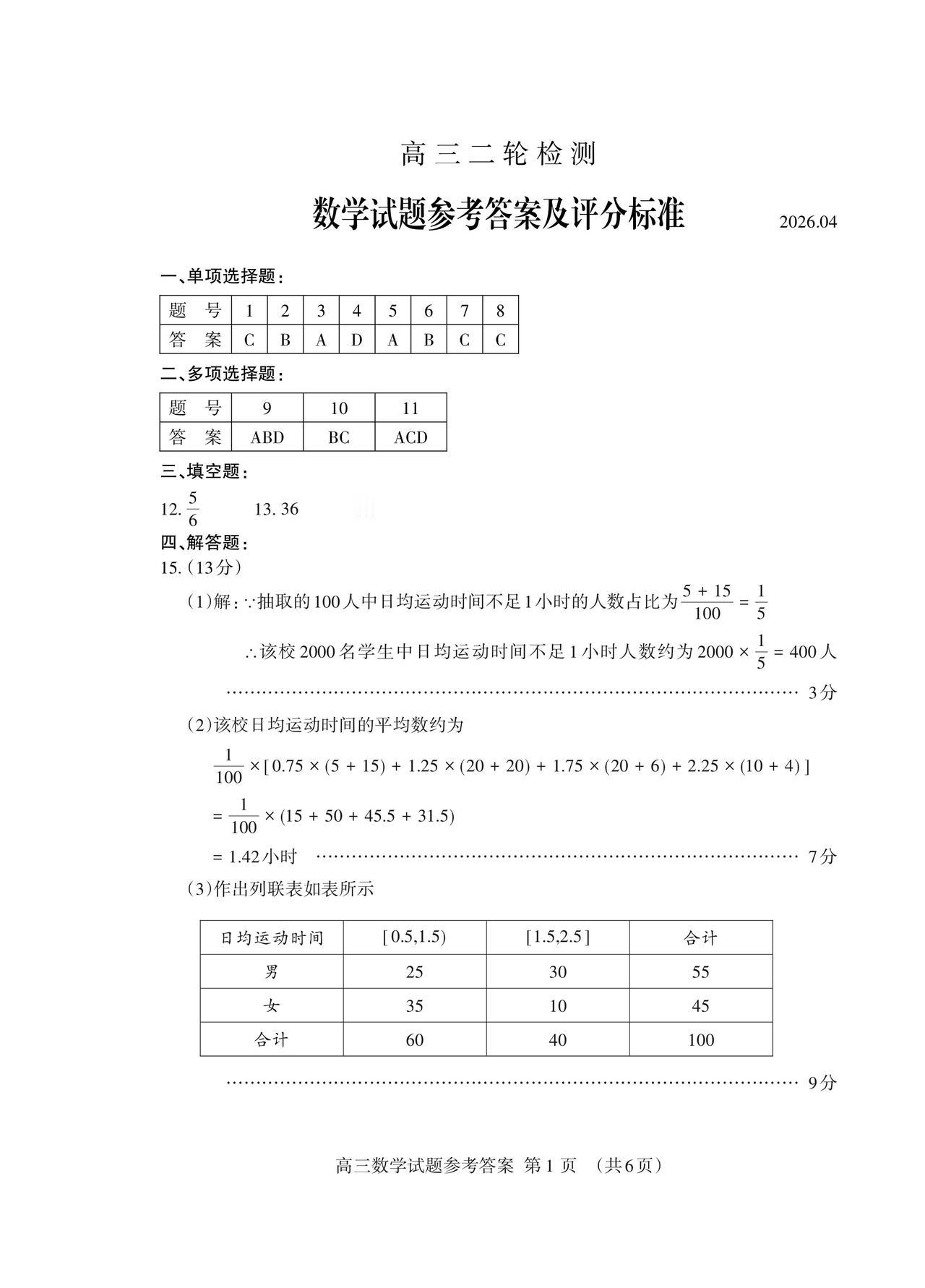
山东省泰安市2026届高三4月二模考试数学试题及答案
2026-04-16 10:17:12
高中数学试卷速递
教育
山东省泰安市2026届高三4月二模考试数学试题及答案
猜你喜欢
速看!河南省考水利厅面试公告发布!📌发布单位:河南省水利厅🔹面试
2026-04-16
孙东泽
标签:
河南
就业
学信网的含金量还在上升校园共创计划
2026-04-16
校园活动啊
标签:
学信网
分享一套初二数学期中考试复习卷,主要考点包括三角形证明,不等式不等式组,图形的平
2026-04-16
小虫数学
标签:
期中考试
数学
初中数学
考研的残酷,只有经历过的人才懂!真的,别再说研究生烂大街了,2
2026-04-16
秋之语
标签:
考研
丘成桐的确是数学家,和一般文科“老公知”有所不同,他批评中国学生“刷题太多”“创
2026-04-15
苏博的日常笔记
标签:
丘成桐
数学
语文老师:我要验π数学老师:π没有问题
2026-04-16
清澈的爱照耀你
标签:
数学
语文
襄阳五中连续两场150分!3月25日3月26日的湖北十二校第二次联考,数学难
2026-04-12
湖北宜都李李
标签:
湖北
数学
襄阳五中
热门分类
推荐
热榜
军事
NBA
体育
社会
明星八卦
娱乐
财经
科技
汽车
历史
国际
游戏
动漫
公益
搞笑
商业
互联网
数码
国际足球
房产
家居
时尚
科学探索
职场
育儿
股票
教育
影视
情感
热点
中国军情
武器
中国南海
中国足球
亚洲杯
科比
综合体育
CBA
投资
楼市
大咖秀
外汇
创业
风口
SUV
豪车
概念车
优惠
新能源
美国
欧洲
朝日韩
俄罗斯
孕期
街拍
恋爱攻略
婚姻
正能量